Las VPO de Campo de la Verdad costarán más de 200.000 euros
Economía
El complejo urbanístico se espera que esté terminado en 2026
Vecinos del Campo de la Verdad denuncian una oleada de robos en sus coches: "Vivimos en una inseguridad constante"
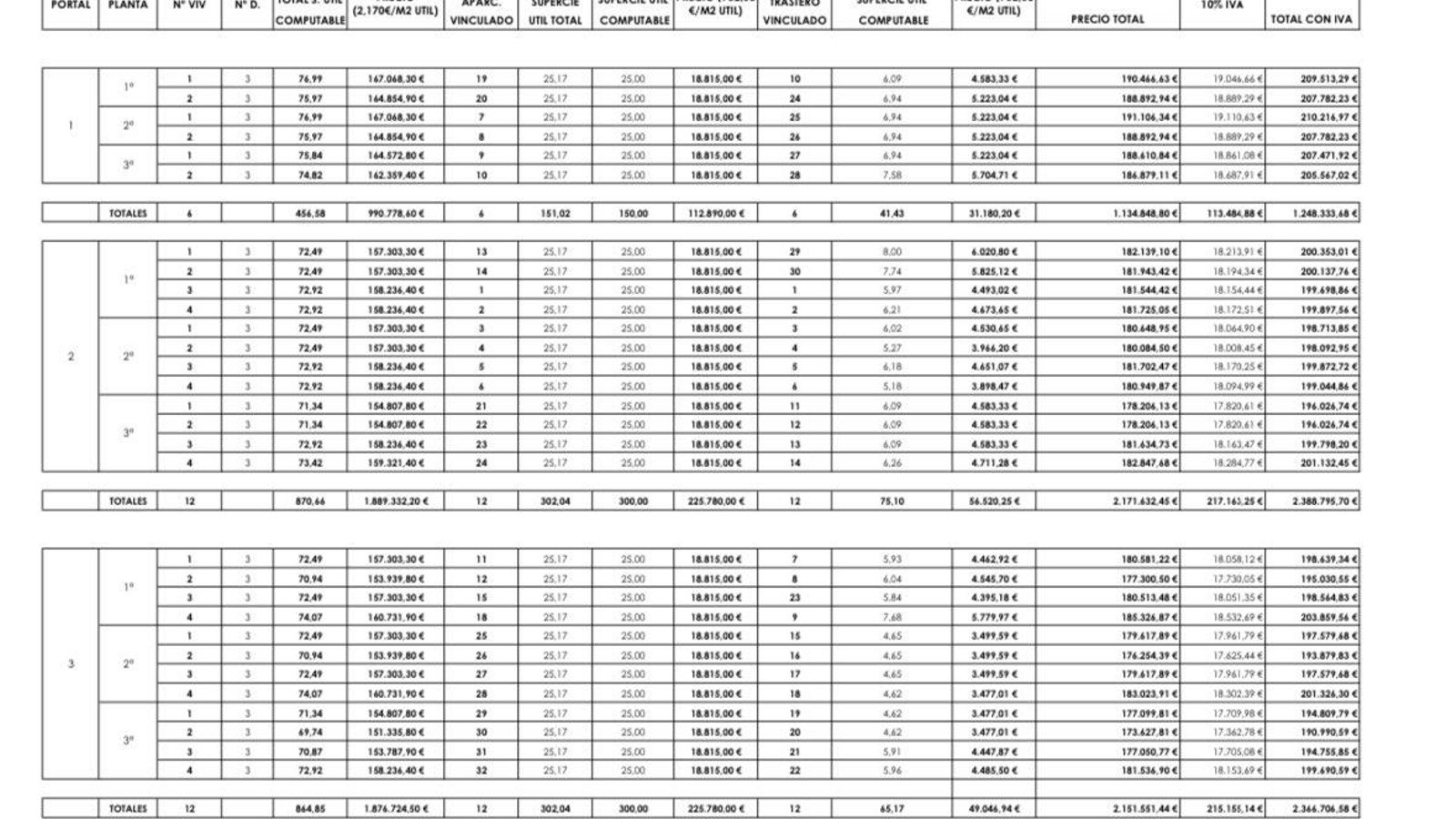
Es una de las promociones de vivienda más esperadas para el próximo 2026, año en el que está previsto que finalicen las obras de esas 30 viviendas protegidas de tres dormitorios que se sumarán al parque inmobiliario del barrio de Campo de la Verdad. Tras una inversión de 4,7 millones de euros, Vimcorsa ha puesto en marcha recientemente la construcción de este complejo urbanístico situado en la confluencia de las calles Campo de la Verdad, Concha Lagos y Acera de Granada, que contará con 30 inmuebles con trastero, 32 plazas de aparcamiento y otras tantas para aparcar bicicletas.
Serán pisos destinados a la venta y el edificio contará también con dos locales comerciales. Se trata de una nueva promoción de VPO muy positiva para la ciudad y sus ciudadanos, a quienes el encarecimiento de la vivienda y la falta de oferta cada vez les está pasando más factura. Sin embargo, estas viviendas promovidas por la administración pública en principio para personas con recursos limitados a un precio inferior al de mercado con requisitos de ingresos y condiciones de uso (residencia habitual o no tener otra vivienda), tienen un precio que supera en la mayoría los 200.000 euros.
Teniendo en cuenta que el sueldo medio bruto anual que se cobra en la provincia de Córdoba es de 17.509 euros por persona y que el precio medio por metro cuadrado se sitúa actualmente en torno a los 1.650 euros -con muchas variaciones según la zona y si se trata de una obra nueva o de vivienda de segunda mano-, estas viviendas de Vimcorsa en un barrio obrero como es el emblemático Campo de la Verdad podrían no ser tan accesibles para el ciudadano medio.
Y es que, las 30 viviendas de VPO que se promocionan en el Campo de la Verdad tienen entre 76,99 y 69,74 metros útiles y el precio por cada uno es de 2.170 euros, lo que hace que el precio total de todas -10% de IVA incluido- oscile entre los 209.513 euros la más cara a 193.979 la más barata contando con la plaza de aparcamiento y el trastero. La venta de todas las viviendas y otros espacios supera los seis millones de euros.
Ante la publicación de estos precios, la oposición en el Ayuntamiento de Córdoba ha mostrado su disconformidad. El portavoz socialista, Antonio Hurtado, ha recalcado que "el PSOE no apoya los precios" establecidos para esta promoción de viviendas en Campo de la Verdad de Vimcorsa. El motivo es que, según el partido, los precios de mercado de estas viviendas protegidas "podrían ser como mínimo un 10% más baratos, puesto que el suelo es gratuito para el Consistorio". Es decir, desde el PSOE de Córdoba defienden que deberían costar alrededor de unos 18.000 euros cada piso y no estar tan cerca de los alrededor de 200.000 que cuesta cada uno de los apartamentos.
También te puede interesar
Lo último
El parqué
Rotación hacia rezagados
La Rayuela
Lola Quero
Heredero de 1981
Alto y claro
José Antonio Carrizosa
La Transición cutre y casposa
Contenido ofrecido por el Colegio Oficial de Farmacéuticos de Granada